Siemens
СРЕДСТВА ПРОМЫШЛЕННОЙ АВТОМАТИЗАЦИИ
официальный партнер Сименс
Каталог СА01 2014
архивный
(4872) 700-366
skenergo@mail.ru
ENG: SITRANS TS temperature sensors
Configuration
Components: Process connections

This catalog is limited to the standard versions. Special versions are available on request.

Welding

A welded protective tube provides a permanent, secure and highly resilient process connection, assuming a respective welding quality.

It is not possible to accidentally open the ... Additional gaskets are not required. If the pipe is not thick enough to ensure a secure welding connection, the appropriate weldable sockets are used.

Weldable sockets

Thread

Type of installation: Screw socket

Screw sockets of different thread types and sizes are firmly welded to the protective tube.

Screw socket

Type of installation: Compression joints

Compression joints are available as accessories. They fit with the diameter of the protective tube and provide for flexible installation. The mounting length can be selected on site. When installed correctly, compression joints are well suited for low and medium pressure.

The difference between a normal and spring-mounted design is as follows:

In the case of spring-mounted compression joints, the sensor is pressed against the measured object or the floor of the protective tube, thus achieving particularly strong heat contact.

Compression joint

Spring-mounted compression joint

Thread type: Cylindrical thread

Cylindrical threads do not seal in the thread but due to an additional sealing face or seal. For example, threads with the short form "G" (as per ISO 228) feature a threat type with a defined screw gauge.

Cylindrical thread

The male threads of our G½ screw sockets fit with both female G½ as well as Rp½ threads.

Thread type: Tapered thread

Tapered threads are different in that they seal metallically in the thread. For example, the American "NPT". Differently from the cylindrical threads, tapered threads such as the American "NPT" seal metallically in the thread itself. The relevant length information in the catalog refers to the "torque point" of the thread, which cannot be precisely defined due to standardized tolerance levels. However, the spring unit of the measuring insert compensates for the differences in length.

NPT thread

Flanges

The different properties of the flanges are as follows:

  • Standard series EN 1092, ASME 16.5,..
  • Nominal pressure
  • Nominal diameter
  • Sealing face

This information is also stamped into the flange, along with the material code and batch number for "3.1 Material".st

Industry-specific process connections

Special process connections have become popular in different industries. For example, hygiene technology: clamp-on connections, milk pipe unions and others.

Components: Protective tube

Protective tubes or sleeves fulfill two basic functions:

  • they protect the measuring insert from aggressive media
  • they make it possible to replace units during ongoing operations

This catalog is limited to the standard versions. Special versions are available on request. The large number of available types can be classified as follows:

  • Protective tubes made of piping material
    Protective tubes made of piping material are also described as "welded" or "multi-part" protective tubes. They are suitable for low to medium process loads and can be manufactured on a cost-effective basis.
    Versions :
    • Form 2N similar to DIN 43772
      with straight tip and shortest possible extension length
      non-alignable connection head
    • Form 2 as per DIN 43772
      with straight tip and extension
      alignable connection head
    • Form 2: with process connection
      Form 2G: Threaded connection
      Form 2F: Flange connection
    • Form 3 as per DIN 43772
      Design with tapered tip and extension
      alignable connection head
      For these protective tubes, the protective tube tip is tapered by hammering. This results in an excellent fit with the measuring insert and very good response times.
      Analogous to forms 2, versions 3/3G/3F are also available for 3
  • Protective tubes made of solid materials
    Where process loads are too great, or where a protective tube cannot have a welded seam, deep hole drilled protective sleeves made of solid materials are used. Form 4 protective tubes (as per DIN 43772) are very popular in this area.

The following table shows the dimensions of the different protective tubes.

 

Tip

Process connection

∅ Inner [mm (inch)]

∅ Outer [mm (inch)]

∅ Inner [mm (inch)]

∅ Outer [mm (inch)]

Protective tube type, design

D1

D2

D3

D4

2N/2/2G/2F, pipe

7

9

7

9

2/2G/2F, pipe

7

12

7

12

3/3G/3F, pipe

6 + 0,1, 0,05

9

7

12

4/4F, Full

7

12,5

7

24

4/4F, fast response, full

3,5

9

3,5

18


Components: Extension

The extension is the section from the lower edge of the connection head to the fixed point of the process connection or protective tube. There are a variety of terms for this components, e.g. neck tube. For this reason the term extension has been selected as a standardized term for the different designs. Function is the deciding factor:

  • Thermal decoupling of connection head from process temperature
  • Installation of connection head over existing insulation
  • Simple standardization of measuring inserts: In general, the length of the extension may be freely selected. However, when using standardized mounting lengths, the option "Extension as per DIN 43 772" is recommended. This ensures that measuring inserts which are quickly available can be used. In the case of special lengths, it is possible to standardize the measuring insert length through a clever combination with the respective special extension length. This allows customers to optimize their costs in purchasing and logistics.
  • In the case of American-designed sensors, the extension also takes the spring load of the measuring unit.
  • Depending on the design, the extension can also be used to achieve an alignment of the connection head.
  • The form of the extension depends on the form of the protective tube:
    • Protective tube made of piping material
      The extension and protective tube usually consist of one continuous tube. The process connection is welded on. (= one-piece protective fitting).
    • Protective tubes made of solid materials
      Extension and protective tube consist of two components which are welded together. The process connection is attached to the protective tube (= multi-piece protective fitting).

Protective tube type

X [mm (inch)]

M[mm] (inch)

Divisible

2G

129 (5.08)

145 (5.71)

No

2F

64 (2.52)

80 (3.15)

No

3G

131 (5.19)

147 (5.79)

No

3F

66 (2.60)

82 (3.23)

No

4 (only L=110)

139 (5.47)

155 (6.10)

Yes

4 (others)

149 (5.87)

165 (6.50)

Yes


Extensions as per DIN 43772

Versions

With regard to their function, extensions can be classified into two types:

  • Alignable/non-alignable Ability to align connection head to the desired direction
  • Integrated measuring insert spring load In the case of American-type sensors, the spring load of the measuring insert is integrated into the extension. Measuring insert and extension form one unit.

alignable

cylindrical

alignable

tapered

without neck tube

without thread

     

non-alignable

cylindrical

non-alignable

tapered

non-alignable

Nipple

     

alignable

Nipple-Union-Nipple

alignable

Nipple-Union-Nipple

spring load

non-alignable

Nipple-Union-Nipple

spring load

     

Versions

Components: Connection head

Connection head

the connection head protects the connection department. The connection head features sufficient room for mounting a clamping base or transmitter.

Different connection heads are used depending on the application and preference:

Connection head

Type/Material

Designation

Degree of protection

Transmitter installation

Connection height

Explosion protection optional

 

BA0: Aluminum

Flange lid

IP54

Measuring insert

25 mm (0.98 inch)

Ex i

 

BB0: Aluminum

Hinged cover low

IP 65

Measuring insert

25 mm (0.98 inch)

Ex i

 

BC0: Aluminum

BC0: Plastic

Hinged cover high

IP 65

Measuring insert and/or hinged cover

25 mm (0.98 inch)

Ex i

 

BM0: Plastic

Screw cover

IP 65

Measuring insert

25 mm (0.98 inch)

Ex i

 

AG0: Aluminum

AU0: Stainless steel

Screw cover, heavy-duty

IP 68

Measuring insert

41 mm (1.61 inch)

Ex i, Ex d

 

AH0: Aluminum

AV0: Stainless steel

Screw cover, sight glass, heavy-duty

IP 68

Measuring insert

41 mm (1.61 inch)

Ex i, Ex d


Components: Measuring insert

Measuring insert

The measuring insert of the temperature sensor is built into the protective fitting (protective tube, extension and connection head). The basic sensor is located in the measuring insert, where it is protected. The spring load of the Siemens measuring inserts provide good thermal contact with the floor of the protective tube, and vibration resistance is significantly increased. Only highly resistant mineral-insultaed cables (MIC or plastic-sheathed) are used for the electrical connection between the basic sensor and connection head. The highly compacted magnesium oxide insulation achieves excellent vibration resistance. The following measuring insert designs are the most popular on the world market:

   

European type

American type


European type

European type measuring inserts can be replaced without having to dismantle the connection head. The springs are located either on the transmitter or the terminal block. This makes it possible to achieve a 8 to 10 mm spring range. Instead of a ceramic head, you can also mount a SITRANS-TH transmitter directly on the blank of the measuring insert.

American type

American-type measuring inserts feature a large spring range. These measuring inserts are ideal for use with NPT threads that feature high tolerances. In this configuration, the extension function is partially or fully integrated (nipple-union-nipple). Moreover it is also possible to directly attach field devices, e.g. SITRANS-TF.

Components: Transmitters

SITRANS-TH head transmitters process weak non-linear sensor signals and transmit a stable and temperature-linear standard signal, thereby minimizing sensor signal disruptions.

The transmitters permanently monitor the temperature sensors and transmit diagnostic data to superordinate systems.

Because of the low energy feed of the SITRANS-TH head transmitters, self-heating of the temperature sensors can be maintained at minimal levels.

The electrical isolation and integrated cold junction ensure that temperature sensors with thermocouples provide reliable measurements at a low cost.

SITRANS-TH product family

  • TH100 - the basic device
    • Output 4..20mA
    • for PT100
    • can be configured using simple software
  • TH200 - the universal device
    • Output 4..20mA
    • Resistance thermometer, thermocouples
    • can be configured using simple software
  • TH300 - HART universal
    • Output 4..20mA/HART
    • Resistance thermometer, thermocouples
    • HART conforming
    • Diagnostic functions
  • TH400 - Fieldbus PA and FF
    • Output PROFIBUS PA or FOUNDATION Fieldbus
    • Resistance thermometer, thermocouples
    • Diagnostics

Installation types

All SITRANS-TH transmitters can be installed in type B connection heads. The following installation forms are used:

  • Measuring insert installation
    Our standard version offers the following advantages
    • Small vibrating masses and compact design
    • Measuring insert-transmitter unit can be replaced quickly

Installation of measuring insert

  • Hinged cover installation
    • Standard for head type BC0 and BP0
    • Advantage: Measuring insert and transmitter can be repaired/maintained separately (recalibration).

Hinged cover installation

Measuring technology: Basic sensors

The diverse application spectrum for industrial temperature measuring technology requires different sensor technologies.

Resistance thermometer

The Pt100 resistance thermometers in this catalog correspond with IEC 751/EN 60 751.

Basic sensors made of other basic materials, with different basic values or different underlying standards are available on request. Resistance thermometers can be classified as follows

  • Basic design
    The sensor element is built with thin layer technology. The resistance material is applied in the form of a thin layer on a ceramic carrier material.
  • Versions featuring increased vibration resistance
    In addition to the basic design: Measures to improve vibration resistance.
  • Versions with expanded measuring range
    Elements in wire-wound design. The wire winding is embedded in a ceramic body.

Thermocouples

The thermocouples in this catalog correspond with IEC 584/EN 60 584.

Other thermocouples based on other thermo pairs or underlying standards are available upon request.

The most common ignoble thermocouples are:

  • Type N (NiCrSi-NiSi) high degree of stability even in upper temperature range.
  • Type K (NiCr-Ni) more stable than type J, but drifts in upper range.
  • Type J (Fe-CuNi) narrow application band.
Measuring technology: Measuring range

The measuring area describes the temperature limits within which the thermometer can be used in a way that is meaningful for measurement purposes. Depending on the loads present and the desired accuracy levels, the actual application range for the thermometer may be smaller.

Resistance thermometer

Basic version and increased vibration resistance

-50 ... 400 °C (-58 ... 752 °F)

Expanded measuring range

-200 ... 600 °C (-328 ... 1112 °F)


Thermocouple

Type N

-40 ... 1100 °C (-40 ... 2112 °F)

Type K

-40 ... 1000 °C (-40 ... 1132 °F)

Type J

-40 ... 750 °C (-40 ... 1382 °F)


Measuring technology: Measuring accuracy

Resistance thermometer

The tolerance classes of the resistance thermometers correspond with IEC 751/EN 60751:

tolerance

Δt

Basic accuracy, Class B

±(0.30 °C+0.0050|t|)

Increased accuracy, Class A

±(0.15 °C+0.0020|t|)

High degree of accuracy, Class 1/3 B

±(0.10 °C+0.0017|t|)


The following tables provide an overview of the scope of these tolerances. If you exceed the specified limits with a resistance thermometer, the values of the next lower accuracy class apply:

Resistance thermometer
Basic version

tolerance

Range

Basic accuracy,
Class B

-50 °C ... 400 °C (-58 ... 752 °F)

Increased accuracy,
Class A

-50°C..300°C (-58 ... 572 °F)

High degree of accuracy
Class AA (1/3 B)

0°C..150°C (32 ... 302 °F)


Resistance thermometer
Increased vibration resistance

tolerance

Range

Basic accuracy,
Class B

-50 °C ... 400 °C (-58 ... 752 °F)

Increased accuracy,
Class A

-50°C..300°C (-58 ... 572 °F)

High degree of accuracy
Class AA (1/3 B)

0°C..150°C (32 ... 302 °F)


Resistance thermometer
Expanded measuring range

tolerance

Range

Basic accuracy,
Class B

-196 °C ... 600 °C (392 ... 1112 °F)

Increased accuracy,
Class A

-196 °C ... 600 °C (392 ... 1112 °F)


Depending on the thermal and mechanical loads at the site, the actual application range of the thermometer may be smaller.

Thermocouples

The tolerance classes of the thermocouples correspond with IEC 584/EN 60584:

Catalog versions

Type

Basic accuracy, Class 2

Increased accuracy, Class 1

N

-40 °C ... 333 °C±2,5 °C
(-40 °F ... 631.4 °F±4.5 °F)
333 °C ... 1200 °C±0,0075 x |t| (631.4 °F ... 2192 °F±0.0075 x |t|)

-40 °C ... 375 °C±2,5 °C
(-40 °F ... 707 °F±2.7 °F)
375 °C ... 1000 °C±0,004 x |t| (707 °F ... 1832 °F±0.004 x |t|)

K

-40 °C ... 333 °C±2,5 °C
(-40 °F ... 631.4 °F±4.5 °F)
333 °C ... 1200 °C±0,0075 x |t| (631.4 °F ... 2192 °F±0.0075 x |t|)

-40 °C ... 375 °C±2,5 °C
(-40 °F ... 707 °F±2.7 °F)
375 °C ... 1000 °C±0,004 x |t| (707 °F ... 1832 °F±0.004 x |t|)

J

-40 °C ... 333 °C±2,5 °C
(-40 °F ... 631.4 °F±4.5 °F)
333 °C ... 750 °C±0,0075 x |t| (631.4 °F ... 1382 °F±0.0075 x |t|)

-40 °C ... 375 °C±2,5 °C
(-40 °F ... 707 °F±4.5 °F)
375 °C ... 750 °C±0,004 x |t| (707 °F ... 1382 °F±0.004 x |t|)


Other thermocouples, ignoble

Type

Basic accuracy, Class 2

Increased accuracy, Class 1

T

-40 °C ... 133 °C±1 °C
(-40 °F ... 271.4 °F±1.0 °F)
133 °C ... 350 °C±0,0075 x |t| (271.4 °F ... 662 °F±0.0075 x |t|)

-40 °C ... 125 °C±0,5 °C
(-40 °F ... 257 °F±0.9 °F)
125 °C ... 350 °C±0,004 x |t| (257 °F ... 662 °F±0.004 x |t|)

E

-40 °C ... 333 °C±2,5 °C
(-40 °F ... 631.4 °F±4.5 °F)
333 °C ... 900 °C±0,0075 x |t| (631.4 °F ... 1652 °F±0.0075 x |t|)

-40 °C ... 375 °C±1,5 °C
(-40 °F ... 707 °F±2.7 °F)
375 °C ... 800 °C±0,004 x |t| (707 °F ... 1472 °F±0.004 x |t|)


Other thermocouples, noble

Type

Basic accuracy, Class 2

Increased accuracy, Class 1

R and S

0 °C ... 600 °C±1,5 °C
(32 °F ... 1112 °F±2.7 °F)
600 °C ... 1600 °C±0,0025 x |t| (1112 °F ... 2912 °F±0.0025 x |t|)

0 °C ... 1100 °C±1 °C
(32 °F ... 2012 °F±1.8 °F)
1100 °C ... 1600 °C±[1 + 0,003 (t - 1100)] °C (2112 °F ... 2912 °F±[1.8 + 0.003 (t - 212)] °F)

B

600 °C ... 1700 °C±0,0025 x |t|
(1112 °F ... 3092 °F±0.0025 x |t|)

 

Measuring technology: Response times

Response time describes the speed of the measurement system in the case of a temperature change, and is typically indicated as T0.5 or T0.9. The values indicate the time in which a measured value has increased to 50% or 90% of the actual temperature increase.

The main variables which affect response time are as follows:

  • Protective tube geometry Ideally:
    as little material as possible at tip, use of conductive material
  • Thermal connection of measuring insert to protective tube:
    Because of design changes implemented for the measuring insert (small gap width, spring system), Siemens measuring inserts feature very good response behavior. Because of the good fit, additional contact materials are not usually required except in certain applications e.g. attachment of a surface sensor.
  • Size of temperature increase
  • Medium and flow rate

Resistance thermometer

Typical values as per EN 60751 in water at 0.4m/s can be found in the following table.

Protective tube form

Diameter [mm]

T0.5

T0.9

None

6 mm (0.24 inch)

3 mm (0.12 inch)

3,9

1

11,4

3,5

straight (2)

9 mm (0.35 inch)

12 mm (0.47 inch)

30

23

96

69

Tapered (3)

12 mm (0.47 inch)

10

24

Solid material (4)
U=65

24 mm (0.95 inch)

27

77

Solid material (4)]
U=125

24 mm (0.95 inch)

30

85

Solid material (4)
U=65

18 mm (0.71 inch)

19

52


Thermocouples

Typical values as per EN 60751 in water at 0.4m/s can be found in the following table.

Protective tube form

Diameter [mm]

T0.5

T0.9

None

6 mm (0.24 inch)

3 mm (0.12 inch)

2

0,5

4

1

straight (2)

9 mm (0.35 inch)

12 mm (0.47 inch)

20

19

63

66

Tapered (3)

12 mm (0.47 inch)

7

22

Solid material (4)
U=65

24 mm (0.95 inch)

22

73

Solid material (4)]
U=125

24 mm (0.95 inch)

20

53

Solid material (4)
U=65

18 mm (0.71 inch)

12

41


Measuring technology: Mounting depth

Measuring insert

Type

Temperature-sensitive length (TSL) [mm]

Non-bendable length [mm]

Basic

7 mm (0.28 inch)

30 mm (1.82 inch)

Increased vibration resistance

7 mm (0.28 inch)

30 mm (1.82 inch)

Expanded measuring range

50 mm (1.97 inch)

60 mm (2.36 inch)

Thermocouple

3 mm (0.12 inch)

3 mm (0.12 inch)


Contact with media

Ambient conditions (temperature/weather/insulation) and the size of the protective tube, process connection and piping result in so-called "heat transmission errors".

To prevent such an error, the submersion depth and diameter of the protective tube tip are defined. The temperature-sensitive length (TSL) of the protective tube must also be taken into account.

  • Water
    Submersion depth ≥ TSL + 5 x Ø of protective tube
  • Air
    Submersion depth ≥ TSL + 10..15 x Ø of protective tube
  • Recommendations
    • Select largest possible submersion depth
    • Select measuring location with higher flow velocity
    • Insulate outer components of thermometer
    • Smallest possible surface for outer components
    • Installation in pipe bends, left
    • Direct measurements without additional protective tube if no suitable solution can be found using other measures.
Measuring technology: Connection types

In the case of resistance thermometers, the type of sensor connection directly affects the level of accuracy:

Two-wire system

The resistance of sensor lines are included in the measurement result as an error. Adjustments are recommended in this case.

PT100 2-wire system

Three-wire system

Line resistance is not included in the measurement result. Requirements: all terminal and line resistances (corrosion) are at the same level, and terminals are at the same temperature level.

PT100 three-wire system

Four-wire system

Line resistance is not included in the measurement result. This type of connection is the most secure and most accurate.

PT100 four-wire system

Siemens measuring inserts can be used to implement all types of connections for 1 x Pt100 devices. In the case of 2 x Pt100 versions, two- and three-wire systems are also possible. For measurement-related reasons, we always recommend a 1 x four-wire or 2 x 3-wire connection.

Temperature influence

At the connection head

 

without transmitter

with transmitter

Aluminum or stainless steel

-40 ... 150 °C
(-40 ... 302 °F)

-40 ... 85 °C
(-40 ... 185 °F)

Plastic

-40 ... 85 °C
(-40 ... 185 °F)

-40 ... 85 °C
(-40 ... 185 °F)


Influence of extension

The illustration below assists you in selecting the right length for the neck tube.

length of neck tube, effect on temperature

Please note that guidance values may change due to local conditions. Please consider these potential changes particularly with respect to explosion protection.

Also note that the accuracy of the transmitter also depends on the temperature in the connection head.

Process connection/Protective tube

When selecting a process connection, process parameters of a certain technology can be considered along with regional, standard-based and customer-specific requirements. The range of products includes a broad selection of standard connections. Additional products are available on request.

In the case of redesigned or newly designed facilities, it is possible to achieve cost savings by implementing various measures:

  • Use of standard lengths through clever selection of screw, weld or flange sockets
  • Moveable compression joints

The temperature resistance of a material for process connections and protective tubes also limits the application area of the temperature sensor. The temperature range indicated on the type plate always refers to the measuring insert, not the material which comes into contact with media. Two aspects must be considered when assessing temperature stability:

  • What maximum temperature may the material reach without a load?
  • What is the behavior under load?
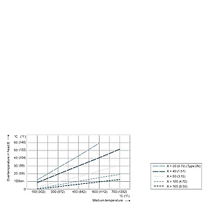
Process load

Because of the large variety of possible applications and variables, it is not possible to make general binding statements regarding the resilience of components which comes into contact with media. The load diagrams below can be used for common application areas. However, where operating conditions vary significantly, please contact our technical support team.

Possible variables affecting measuring accuracy:

The process itself

Correction options

Temperature

Mounting lengths

Pressure

Protective tube type

Flow velocity

Material selection (incl. coating)

Viscosity

Suitable process connection

Vibration

Support against vibration

Corrosiveness

 

Abrasion (e.g. carbon dust)

 

Load diagrams

Protective tubes with Ø9.1 mm(0.36 inch) ,measurements in mm (inch)

Protective tubes with Ø12 x 2.5 mm (0.47 X 0.10 inch), measurements in mm (inch)

Protective tubes with Ø12 x 2.5 mm (0.47 X 0.10 inch), Ø14 x 2.5 mm (0.55 X 0.10 inch), measurements in mm (inch)

Protective tubes with Ø14 mm (0.95 inch), C= 65 mm (2.60 inch), measurements in mm (inch)

Protective tubes with Ø18 mm (0.71 in), C= 65 mm (2.60 inch), measurements in mm (inch)

Protective tubes with Ø14 mm (0.95 inch), C= 4.92 in (4.92 in), measurements in mm (inch)

Protective tube calculation

Properly applied load diagrams will provide a sufficient degree of safety for the most common protective tube configurations.

However, there are cases in which operating conditions excessively deviate from standard parameters. In this case a customized protective tube calculation may be required.

Another reason for doing this calculation is the fact that flowing media can create turbulence at the tip of the protective tube under certain conditions. The protective tube will then vibrate and may even be destroyed if not configured correctly. This is the most common cause for breakdowns involving protective tubes.

SIEMENS offers the two recognized methods for calculating the protective tube:

  • DIN/Dittrich method
  • ASME/Murdock method This method also takes into account turbulence formation on a mathematical level.

Both methods provide a high degree of safety with regard to protective tube configuration, however, they do not provide a guarantee against breakdowns.

Materials

Material descriptions/Standards comparison

Maximum temperature

Properties

Applications

Mat. No.:

AISI/Trade name:

EN 10028-2:

Description

     

1.4404

AISI 316 L

X2CrNiMo17-12-2

Austenitic stainless steel

600°C

good acid resistance, resistant against grain boundary corrosion

Chemical industry, waste treatment, paper and cellulose industry, food industry

1.4571

AISI 316 Ti

X6CrNiMoTi 17 12-2

Austenitic stainless steel

800°C

good acid resistance, resistant against grain boundary corrosion (supported by TI portion)

Chemical industry, textile industry, paper and cellulose industry, water supply, food and pharmaceuticals

1.5415

A 204 Gr.A

16Mo3

Carbon steel, high-alloy

500°C

Resistant at higher temperatures, well suited for welding

Steam turbines, steam lines, water pipes

1.7335

A 182 F11

13CrMo4-5

Carbon steel, high-alloy

540°C

Resistant at higher temperatures, well suited for welding

Steam turbines, steam lines, water pipes

1.4841

SS 314

X15CrNiSi25-20

Austenitic heat-resistant stainless steel

1150 °C

Resistant at high temperatures, also resistant against low-O2 and nitrogen-containing gases.

Flue gas, petrochemical industry, chemicals industry, power plants

1.4762

446

X10CrAl24

Ferritic heat-resistant steel

1150 °C

Resistant at high temperatures, in oxidizing and reducing sulphur-containing atmosphere

Chemical industry, power plants, steel industry, waste gas treatment

2.4816

Inconel 600

NiCr15Fe

Nickel-Chrome alloy

1150°C

Resistant at high temperatures, resistant against chlorine-induced cold crack corrosion

Chemical industry, petrochemical industry, food industry

1.4876

Incoloy 800

X10NiCrAlTi32-21

Austenitic heat-resistant stainless steel

1100°C

Excellent resistance against oxidation and carbonization at high temperatures, good corrosion resistance

O&G industry, waste gas treatment, power plants (steam boiler, heat exchanger), applications using aggressive fluids

2.4819

Hastelloy C 276

NiMo16Cr15W

Nickel-Chrome-Molybdenum alloy

1100°C

Resistant at high temperatures, in oxidizing and reducing atmosphere, resistant against pitting and crevice corrosion, good corrosion resistance after welding

Chemicals industry, paper and cellulose industry, waste treatment, waste incinerators, emissions controls, shipbuilding and offshore industry

2.4360

Monel 400

NiCu30Fe

Nickel-Copper alloy

500°C

Excellent corrosion resistance, particularly against chlorine-induced cold crack corrosion

Chemical industry, offshore industry, nuclear technology, petrochemical industry


Where cost-intensive materials are used with flange protective tubes, cost savings can be achieved by using a so-called flanged wheel. A thin disc of the material which comes into contact with media is applied prior to the flange (ordinary stainless steel).

Vibration resistance of measuring insert, cable sensor

Similar to the protective tube, the equipment also creates inner (Karman vortices) and outer vibration inducements which act on the measuring insert. For this reason, a special assembly of measurement elements is required. Other than a few exceptions for cable and compact thermometers, SIEMENS only produces sensors with a mineral-insulated plastic-sheathed cable. Together with precautions taken when installing the measuring element, the SIEMENS basic version already exceeds EN 60 751 by more than a factor of 3. Pursuant to the measurement methods of this standard, the following values are obtained (tip-tip):

  • 10 g
    Basic version and expanded measuring range
  • 60 g
    Increased vibration resistance and thermocouple

Bending ability of measuring insert / cable sensor

All SIEMENS measuring inserts are made with a mineral-insulated plastic-sheathed cable (MIC). The same applies to a portion of the cable and compact thermometer. In addition to the already described properties, another advantage of the plastic-sheathed cable is its bending ability. This makes it possible to install these thermometers even in difficult to access areas. Please ensure that you are not below the following bending radius:

Ø MIC [mm] (inch)

Rmax = 4x Ø MIC [mm] (inch)

3 (0.12)

12 (0.48)

6 (0.24)

24 (0.95)


Where a smaller bending radius is required due to installation conditions, subsequent testing of the insulation resistance is recommended.

Electrical stability

Insulation resistance

The insulation resistance between each measuring circuit and the fitting is tested at a voltage of 500 V DC at room temperature.

Riso ≥ 100 MΩ

Due to the property of the mineral-insulated cable, the insulation resistance decreases as temperature increases. Because of the special production method, it is however possible to achieve very good values even at high temperatures.

Line resistance

When connected to two-wire systems, the line resistance is included in the measurement result. The following rule of thumb can be used:

  • ∅ Measuring insert 3 mm (0.12 inch) 5 Ω/m or 12.8 °C (55.04 °F)
  • ∅ Measuring insert 6 mm (0.24 in) 2.8 Ω/m or 44.78 ℉ (44.78 ℉)

For this reason a connection to three- or four-wire systems is highly recommended.

Approvals

  • ATEX intrinsically-safe PTB 08 ATEX ... X
  • II 1/2 GD Ex ib, II 1 GD Ex ia
  • ATEX pressure-resistant PTB 08 ATEX ... X
  • II 1/2 GD Ex d

Pressure equipment directive:

This device is not covered by the pressure equipment directive; classification as per the pressure equipment directive:

(DGRL 97/23/EG), Directive 1/40; Section 1, Subsection 2.1.4

In addition, statutory, standards-based or operating specifications also require additional testing. The results are certified in certificates as per EN 10204:

  • as per EN 10 204-2.1, order conformity
    Certificate in which SIEMENS confirms that the delivered products correspond with the requirements of the order, without indicating test results. The testing does not have to be carried out on the delivered devices.
  • as per EN 10 204-3.1
    Certificate in which SIEMENS confirms that the delivered products meet the requirements set out in the order. Along with listing the test results. Testing is carried out by an organization which is independent of production. The acceptance test certificate 3.1 replaces 3.1.B of the previous edition.
  • Material certificate for parts which come into contact with media
    This certificate confirms the properties of the material and warrants traceability up to the melting batch.
  • Pressure-resistant
    Hydrostatic pressure test on protective tube as per customer specifications. Where operating pressure is not specified, testing is carried out using the nominal pressure of the process connection.
  • Helium leak test
    This test can be used to detect even the smallest leaks in protective tubes and welded seams.
  • X-ray testing for measuring inserts
    By conducting an X-ray test, welded connections can be tested for e.g. bubbles, insufficient weld penetration and other material defects.
  • Surface tear test
    The color penetration method can detect tears and other surface defects.
  • Comparative text (calibration)
    The test object is measured in one temperature direction against a highly precise thermometer, and the measured values of test object and normal are documented. However, calibration requires the measuring insert to be of a certain minimum length.
    Measuring inserts can be calibrated together with the associated transmitter. Calibration values can be stored in the transmitter in order to increase the accuracy of the system.
  • as per EN 10 204-3.2
    This acceptance certificate can be prepared on request, together with an acceptance representative of the ordering party or a representative indicated as per official requirements (e.g. TÜV) It confirms that the delivered products meet the requirements set out in the order; it also contains the test results.

































Каталог оборудования 2014
Каталог продуктов Siemens Industry Приводная техника Техника автоматизации Системы автоматизации Системы визуализации SIMATIC HMI Системы идентификации Промышленные коммуникации SIMATIC NET Промышленные аппараты управления SIRIUS Промышленные информационные технологии Управление на базе РС Системы управления процессом Датчики Контрольно-измерительные приборы Измерительные преобразователи для давления Датчики давления Приборы измерения температуры SITRANS T Миграция: Преобразователь температуры SITRANS TS temperature sensors Detailed product overview SITRANS TS100 SITRANS TS200 SITRANS TS500 Термометры сопротивления Термопары Термосопротивления для пищевой и биологической промышленности, фармацевтики Radiation pryometers Расходомеры Уровнемеры Расходомеры и счетчики Позиционеры Устройство для защиты и пуска двигателей SIMOCODE-DP Сигнализаторы сбоев в промышленном процессе Дополнительные компоненты Коммуникации и программное обеспечение Аппаратные ПИД-регуляторы SIPART Встраиваемые самописцы и индикаторы Анализаторы процесса Технологии взвешивания Блоки питания Продукты для специальных требований Автоматизация и безопасность зданий Низковольтная коммутационная техника Технология безопасности Системные решения и продукты для отраслей Сервис ... и все, что Вам еще необходимо

  © ООО "СК ЭНЕРГО" 2007-2022
  (4872) 700-366  skenergo@mail.ru
Яндекс.Метрика