Сети передачи данных
Кольцевая сеть
Радиальная сеть
Магистральная сеть
Кольцевая сеть
В кольцевай сети пользователи (узлы сети) связаны между собой кольцеобразно. Данные передаются от одного узла сети к другому в одном и том же направлении. Для расширения системы кольцо просто разрывается и в этом месте добавляется еще один пользователь.
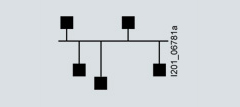
Радиальная сеть
При звездообразном расположении все пользователи соединены с центральным пунктом, который также работает как блок управления системой. Он передает данные дальше каждому из пользователей, кому эта информация была адресована. Эта структура сети позволяет многоканальный режим работы, при котором многие связи могут функционировать одновременно. Дальнейшие пользователи при необходимости могут просто подключаться к центральному пункту.
Магистральная сеть
В магистральной сети все пользователи подключаются непосредственно к шине. Данные, передаваемые одним из узлов сети, сначала одновременно принимаются всеми другими. Но все узлы - естественно, за исключением адресата - игнорируют эти данные. Расширение сети осуществляется непосредственным ответвлением шины, и тем самым созданием нового пользователя.
Разъемы, распределители и розетки
Для соединения и разводки проводов, а также для подключения оконечных устройств предусмотрены специальные разъемы, распределители и розетки.
Устройства для скрытой установки
1) BNC: байонетный стандартный разъем
2) TNC: резьбовой стандартный разъем
3) витая пара
4) ISDN: Integrated Services Digital Network (цифровая сеть с предоставлением комплексных услуг)
Эти компоненты для обработки и передачи данных, а также для телекоммуникационных устройств и электроакустических систем входят в программу выключателей и розеток DELTA flache для открытой установки, а также программы DELTA i-system, DELTA profil, DELTA style, DELTA natur, DELTA ambiente для встраивания в монтажные коробки диаметром 60 мм и в кабельные каналы, с вертикальными выходными отверстиями или наклоненными под углом 30°.
Примеры:
Для примера из большого количества компонентов связи здесь описываются только некоторые устройства для обработки данных и телекоммуникационной техники. Для всех розеток могут использоваться лицевые накладки и рамки (80 мм) электроустановочных систем выключателей и розеток DELTA i-system, DELTA profil, DELTA style, DELTA natur, DALTA ambient, а также для открытой установки DELTA flache.
Сверхминиатюрные штекерные разъемы типа D
Сверхминиатюрные штекерные разъемы типа D используются прежде всего для штекерных подключений компьютерных терминалов и устройств передачи данных, а также для измерительных, управляющих и регулирующих устройств. Розетки имеют 9-, 15- или 25-полюсные трапецевидные разъемы со штырьковыми выводами либо гнездовыми контактами для присоединения устройства. Имееются также розетки с двумя разъемами для подключения двух устройств.
Разъемы BNC/TNC
Разъемы BNC1)/TNC2) применяются в высокочастотном диапазоне в сетях с коаксиальным кабелем. Стандартное исполнение применимо для частот до 4 ГГц и предназначено для коаксиального кабеля с полным сопротивлением 50 W и 70 W. Штекер разъема BNC соединяется с гнездом розетки через байонетный соеденитель, а виброустойчивый разъем TNC - через резьбовой соеденитель.
Коммуникационные розетки
Коммуникационные розетки используются как для систем обработки данных (например, для присоединения витой пары3), так и для темекоммуникационной техники (например, для базового подключения ISDN 4)).
Коммуникационные розетки бывают одинарные и двойные, с 6-ю либо 8-ю контактами.
Коаксиальные разъемы
Коаксиальные разъемы применяются в основном в локальных сетях передачи данных (LAN) с оконечными устройствами фирмы IBM. Обе первичные линии коаксиального кабеля (двойного коаксиального кабеля) припаиваются к коаксиальному гнезду розетки, металлическая оплетка зажимается механически. После вхождения в контакт штекер привинчивается к розетке накидной гайкой.
Розетки TAE
Телекоммуникационные розетки стандарта TAE применяются в исключительно для подключения устройств телекоммуникационной техники, таких как, например, телефон, факс, телетайп. Адаптер (штекер) бывает как без соединительного шнура, так и со шнуром различной длины. Розетки с одним из трех гнезд и адаптер подготовлены как для подключения телефона (F-кодирование), так и для подключения дополнительных устройств (факс и т.д.), а также оконечных устройств передачи/приема данных (видеотекст) (N-кодирование).
Розетки для световодов
Розетки для световодов программы DELTA profil соответствуют требованиям современных систем на базе кабельной сети со стекловолоконным кабелем.
Эти системы расчитаны на перспективу и гарантируют также и в будущем быструю и надежную передачу для многих применений, как например:
телефон (речь, факс),
передача данных (клиент/сервер, обработка данных, электронная почта, интернет, LAN),
мультимедиа (интеграция речи, данных и видео).


