|
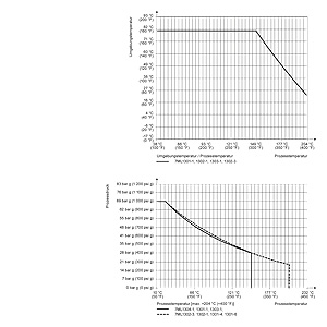
SITRANS LG200 Кривые снижения рабочих параметров давления/температура SITRANS LG200 Кривые снижения рабочих параметров давления/температура
|
| Каталог 2018 | Каталог 2017 | Каталог 2016 | Каталог 2015 | Каталог 2014 | Каталог 2013 | Каталог 2012 | Сертификат | Контакты | Карта сайта | Поиск |


